该项目属于新增专项债券九大投向领域中的“交通基础设施”。项目全部预期收入均由项目自身建设内容及土地出让产生,收入与成本测算详细,可为其他同类型项目做参考。
杭州市地铁集团有限责任公司
杭州地铁10号线全长25.6千米,主线起点为浙大玉泉,终点为余杭仁和,支线起点为余杭农副物流中心,终点为余杭崇贤。10号线-期工程,起点为浙大站,之后线路沿浙大路→玉古路→学院路→莫干山路+杭行路→港虹西路敷设,终止于新兴路站,线路总长度15.114千米,设置站点12座,全部为地下线,最大站间距2千米,最小站间距0.9千米,平均站间距1.4千米。与地铁2号线、 3号线、4号线、5号线、8号线(远期)、14号 线(远期)等6条线路形成换乘。全线设置仁和车辆段1座,接轨于新兴路站,功能定位为大架修,控制中心设在七堡控制中心,新建1座主变电所(隐秀路主所)和1座35千伏电源开闭所(电源引自4号线的杭行路主变电所)。本项目拟占用土地约10.73公顷,用地应控制在110.54公顷,其中农用地30.10公顷(耕地26.71公顷,含永久基本农田25.61公顷)。
本项目概算1570182.60万元,其中:项目资本金830182.60万元(资金来源:财政预算安排),占项目投资总额的52.87%;发行地方政府专项债券200000.00万元,占项目投资总额的12.74% ;其他债务融资540000.00万元,占项目投资总额的34.39%。
项目收入主要是运营票款收入,车辆、车站的广告收入、车站沿线的商业开发收入及土地出让收入。按照项目全口径收支计算,本项目运营期内项目收益总计 1438939.70 万元,其中项目运营收入合计 497678.00 万元,土地出让及上盖开发收益合计 941261.70 万元。
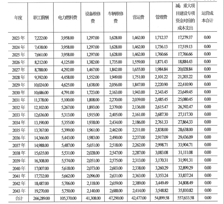
本项目的运营成本主要包经营成本、固定资产折旧及费用摊销、财务费用等;经营成本包括:职工薪酬、电力燃烧费、设备维修费、车辆维修费、运营费、管理费等。债券存续期内(2022年-2032年)运营成本由重大项目建设专项资金安排,运营期内重大项目建设专项资金弥补合计557, 633. 58万元。

本项目计划总投资1570182.60 万元,按照债券融资计划,拟发行专项债券200000.00万元,专项债券发行到期本息合计24900.00万元,其他债务融资到期本息合计941144.09万元。
本项目专项债券还本付息以归属于专项债的土地出让收益为基础。仅计算专项债券收支情况下,专项债券还本付息对应的项目收益为492366.42元,覆盖倍数为1.98;且偿还专项债券融资本息后,在其他债务融资到期前,剩余归属于其他债务融资相应的项目运营收益、上盖开发收益合计946573.28万元,覆盖倍数为1.01。按照项目全口径收支计算,本项目运营期内项目收益总计1438939.70万元,其中项目运营收入合计497678.00 万元,土地出让及上盖开发收益合计941261.70万元,项目运营成本合计0.00万元,运营期内运营成本由财政补助安排,本项目融资到期本息总计1190144.09 万元,项目收益对专项债券与银行贷款合计本息的覆盖倍数为1.21.项目自身产生的收益能够偿还全部融资本息。